選択肢
問題に戻る
indexに戻る
ステイタス
レベル
11
HP
208
MP
208
G
208
E
208
間違いです。
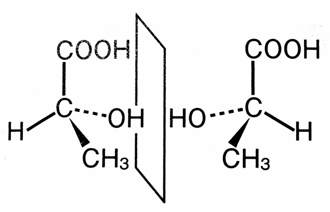
*「上の図のように,不斉炭素原子が存在すると,重ね合わせることができない2つの構造が存在します。この2つの互いの関係を「鏡像」といいます。」
*「「問題に戻る」または「indexに戻る」をクリックしてください。」