選択肢
リボース
ペプチド
ヌクレオチド
ヌクレオシド
ステイタス
レベル
40
HP
782
MP
782
G
782
E
782
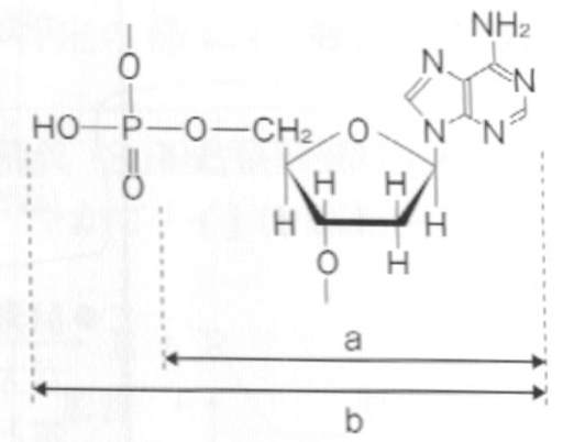
*「上の図の a を何といいますか。」
↓音を消せます