選択肢
4-6位と 4-3位
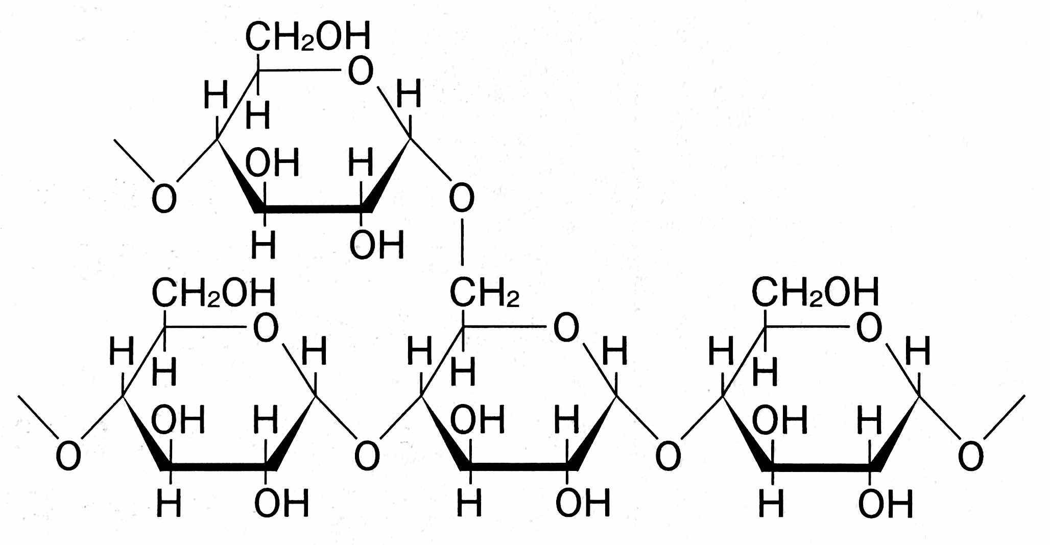
3-5位と 3-4位
2-4位と 2-5位
1-4位と 1-6位
ステイタス
レベル
29
HP
564
MP
564
G
564
E
564
*「アミロペクチンは,α-グルコースの何位と何位の炭素が結合していますか。」
↓音を消せます